Tính toán nguyên hàm là một kỹ năng cốt lõi trong chương trình Toán Phổ thông và Đại học. Việc nắm vững cách bấm máy tính nguyên hàm 580 trên dòng máy Casio FX-580VN X giúp rút ngắn thời gian giải trắc nghiệm và đảm bảo độ chính xác cao. Phương pháp này dựa trên mối liên hệ giữa nguyên hàm và đạo hàm—một kỹ thuật cực kỳ hiệu quả để kiểm tra đáp án trắc nghiệm nhanh chóng. Bài viết này sẽ cung cấp hướng dẫn chuyên sâu về các bước thao tác, từ lý thuyết nền tảng đến thực hành giải quyết các dạng toán tích phân xác định phức tạp, giúp người học làm chủ hoàn toàn công cụ máy tính Casio FX-580VN X của mình.
Cơ Sở Lý Thuyết Để Giải Nhanh Nguyên Hàm Bằng Máy Tính
Để sử dụng máy tính 580 hiệu quả trong việc giải nguyên hàm, chúng ta cần hiểu rõ nền tảng lý thuyết đã được tối ưu hóa cho phương pháp trắc nghiệm. Phương pháp này dựa trên Định lý Cơ bản của Phép tính Vi tích phân.
Liên Hệ Giữa Nguyên Hàm và Đạo Hàm
Nguyên hàm của một hàm số $f(x)$ trên khoảng $K$ là hàm số $F(x)$ mà đạo hàm của nó bằng $f(x)$. Công thức toán học là $F'(x) = f(x)$ với mọi $x$ thuộc $K$. Đây là mối quan hệ nghịch đảo cơ bản giữa phép tính đạo hàm và nguyên hàm. Trong toán học trắc nghiệm, nếu chúng ta có bốn đáp án A, B, C, D là các hàm $F_i(x)$ tiềm năng, chúng ta chỉ cần kiểm tra xem đạo hàm của $F_i(x)$ có bằng hàm $f(x)$ ban đầu hay không.
Ứng Dụng Định Lý Cơ Bản Của Phép Tính
Định lý Newton-Leibniz là nền tảng để giải quyết các bài toán nguyên hàm và tích phân bằng máy tính. Theo định lý này, tích phân xác định của $f(x)$ từ $a$ đến $b$ bằng $F(b) – F(a)$. Nếu $F(x)$ là nguyên hàm của $f(x)$, thì $F'(x) = f(x)$. Phương pháp bấm máy tính Casio FX-580VN X dựa trên việc kiểm tra điều kiện này tại một điểm $x$ cụ thể. Cụ thể, ta mong muốn $f(x) – F'(x) = 0$.
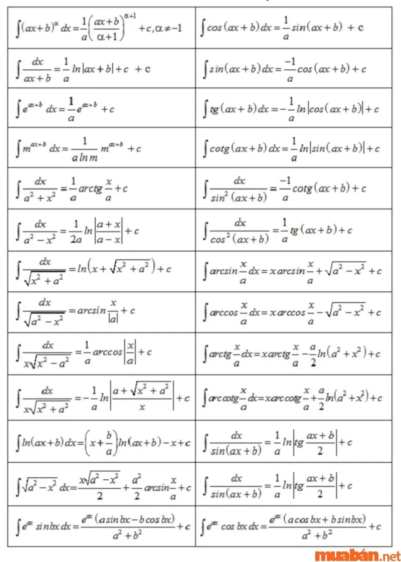
Các Công Thức Nguyên Hàm Cần Ghi Nhớ Nhanh
Mặc dù máy tính có thể giúp kiểm tra, việc ghi nhớ các công thức nguyên hàm cơ bản giúp người học nhận diện nhanh dạng toán. Các công thức nền tảng bao gồm nguyên hàm của hàm mũ, hàm lượng giác, và hàm đa thức.
Bảng công thức nguyên hàm cơ bản{alt=”Bảng công thức nguyên hàm cơ bản và các quy tắc tính toán trên Casio 580″ title=”Bảng Công Thức Nguyên Hàm Cơ Bản”}
Bảng công thức nguyên hàm cơ bản:
Hàm đa thức: $int x^n dx = frac{x^{n+1}}{n+1} + C$.
Hàm lượng giác: $int cos x dx = sin x + C$ và $int sin x dx = -cos x + C$.
Bảng công thức nguyên hàm mở rộng:
Các công thức này áp dụng cho hàm hợp $u(x)$ khi $int f(u) du$. Ví dụ, $int e^{ax+b} dx = frac{1}{a} e^{ax+b} + C$.
Bảng công thức nguyên hàm mở rộng{alt=”Bảng công thức nguyên hàm mở rộng áp dụng cho các hàm hợp phức tạp” title=”Công Thức Nguyên Hàm Mở Rộng Casio FX-580VN X”}
Bảng công thức nguyên hàm nâng cao:
Bao gồm các công thức cho hàm phân thức, hàm căn thức, và các trường hợp đặc biệt khác.
Bảng công thức nguyên hàm nâng cao{alt=”Bảng công thức nguyên hàm nâng cao dành cho các bài toán khó” title=”Nguyên Hàm Nâng Cao và cách bấm máy tính nguyên hàm 580″}
Bảng nguyên hàm hàm số lượng giác:
Tập trung vào các phép tính chứa $tan x$, $cot x$, $sec x$, và $csc x$.
Bảng nguyên hàm hàm số lượng giác{alt=”Bảng nguyên hàm của các hàm số lượng giác cơ bản” title=”Nguyên Hàm Hàm Số Lượng Giác Bằng Máy Tính 580″}
Hướng Dẫn Cách Bấm Máy Tính Nguyên Hàm 580 Chi Tiết Từng Dạng Bài
Máy tính Casio FX-580VN X không có chức năng tính trực tiếp nguyên hàm vô định. Thay vào đó, chúng ta sử dụng công cụ tính đạo hàm tại một điểm (SHIFT + d/dx) để kiểm tra đáp án.
Dạng 1: Tìm Nguyên Hàm F(x) Của Hàm Số f(x) (Phương pháp đạo hàm ngược)
Mục tiêu là tìm đáp án $F_i(x)$ sao cho $f(x) – F’_i(x) = 0$ tại một giá trị $x$ bất kỳ (thường gọi là điểm thử $A$).
Bước 1: Thiết lập Phép thử Đạo Hàm Ngược
Chúng ta sẽ sử dụng chức năng đạo hàm tại một điểm trên máy 580. Cú pháp kiểm tra là:
$$f(A) – left. frac{d}{dx} Fi(x) right|{x=A}$$
Bước 2: Thực hiện Thao Tác Bấm Máy Tính Casio FX-580VN X
Quy trình:
- Chọn một giá trị thử $A$ bất kỳ, ví dụ $A = 0.5$ (tránh $x=0$ hoặc các điểm làm hàm số không xác định).
- Nhập biểu thức cần kiểm tra vào máy tính: $f(X) – left. frac{d}{dx} Fi(X) right|{x=X}$ (Sử dụng biến $X$ thay cho $A$ trong quá trình nhập).
- Sử dụng phím CALC và gán giá trị $X=0.5$.
Bước 3: Phân Tích Kết Quả
- Nếu kết quả hiển thị bằng 0 (hoặc xấp xỉ $10^{-9}$), thì đáp án $F_i(x)$ đó có khả năng cao là nguyên hàm đúng.
- Nếu kết quả khác 0 (ví dụ 1, 5, $0.1$), loại bỏ đáp án đó.
Cú pháp tìm nguyên hàm F(x) của hàm số f(x){alt=”Cú pháp đạo hàm ngược để tìm nguyên hàm trên máy tính 580″ title=”Cú Pháp Tìm Nguyên Hàm F(x) Bằng Casio 580″}
Ví Dụ Minh Họa Dạng 1
Câu hỏi: Tìm nguyên hàm $F(x)$ của hàm số $f(x) = 3x^2 + 2sin x$.
A. $x^3 + 2cos x + C$
B. $x^3 – 2cos x + C$
C. $6x – 2cos x + C$
Hướng dẫn bấm máy Casio 580:
- Chọn điểm thử $A = 1$.
- Kiểm tra đáp án B: $F_B(x) = x^3 – 2cos x$.
- Nhập vào máy: $(3X^2 + 2sin(X)) – left. frac{d}{dx} (X^3 – 2cos(X)) right|_{x=X}$
- Bấm CALC và nhập $X=1$.
- Máy tính hiển thị kết quả gần bằng 0 ($10^{-13}$), xác nhận đáp án B là đúng.
Ví dụ tìm nguyên hàm F(x) của hàm số f(x){alt=”Ví dụ minh họa chi tiết cách bấm máy tính nguyên hàm 580 dạng 1″ title=”Ví Dụ Giải Nguyên Hàm Bằng Casio FX-580VN X”}
Dạng 2: Tìm 1 Nguyên Hàm F(x) Thỏa Mãn Điều Kiện F(x0) = M (Phương pháp Tích phân xác định)
Đây là dạng toán yêu cầu xác định hằng số $C$. Khi $F(x)$ là nguyên hàm của $f(x)$, ta có công thức:
$$F(x) – F(x0) = int{x_0}^{x} f(t) dt$$
Trong đó $F(x_0)$ là giá trị $M$ đã cho.
Cơ Sở Lý Luận
Nếu đáp án $F_i(x)$ là đúng, thì tại bất kỳ điểm thử $A$ nào, mối quan hệ sau phải được thỏa mãn:
$$Fi(A) – M = int{x0}^{A} f(t) dt$$
Hay, sau khi biến đổi:
$$int{x_0}^{A} f(t) dt – (F_i(A) – M) = 0$$
Cú Pháp Thực Hiện
- Chọn điểm thử $A$ (thường là $A=1$ hoặc $A=2$).
- Nhập biểu thức kiểm tra vào máy Casio 580:
$$int_{x_0}^{X} f(t) dt – F_i(X) + M$$ (Trong máy tính, $t$ được thay bằng $X$). - Bấm CALC và gán $X=A$.
Ví Dụ Minh Họa Dạng 2
Câu hỏi: Tìm nguyên hàm $F(x)$ của $f(x) = frac{1}{2x+1}$ biết $F(0) = 1$.
A. $ln|2x+1| + 1$
B. $frac{1}{2}ln|2x+1| + 1$
C. $frac{1}{2}ln|2x+1|$
Hướng dẫn bấm máy Casio 580:
Ta có $x_0 = 0$ và $M = 1$. Chọn $A = 1$.
- Kiểm tra đáp án B: $F_B(x) = frac{1}{2}ln|2x+1| + 1$.
- Nhập biểu thức kiểm tra:
$$int_{0}^{X} left(frac{1}{2t+1}right) dt – left( frac{1}{2}ln|2X+1| + 1 right) + 1$$ - Biểu thức rút gọn:
$$int_{0}^{X} left(frac{1}{2t+1}right) dt – frac{1}{2}ln|2X+1|$$ - Bấm CALC, $X=1$.
- Máy tính hiển thị kết quả xấp xỉ $0$, xác nhận B là đáp án đúng.
Dạng 3: Ứng Dụng Tích Phân Giải Bài Toán Diện Tích Hình Phẳng và Thể Tích Tròn Xoay
Đối với các bài toán ứng dụng, máy tính 580 hỗ trợ tính trực tiếp tích phân xác định để tìm kết quả số. Sau đó, ta kiểm tra kết quả này với các đáp án trắc nghiệm.
Phương Pháp Tính Tích Phân Xác Định
Đây là thao tác cơ bản và trực tiếp nhất trên Casio 580.
Các bước bấm máy:
- Nhấn phím Tích phân ($int$) (Thường nằm trên phím CALC).
- Nhập hàm số $f(x)$ vào bên trong dấu tích phân.
- Nhập cận dưới $a$ và cận trên $b$.
- Nhấn = để lấy kết quả.
Cách bấm dấu tích phân trên máy tính{alt=”Hướng dẫn cách bấm dấu tích phân Casio FX-580VN X” title=”Thao Tác Tính Tích Phân Trên Casio 580″}
Kiểm Tra Đáp Án Trắc Nghiệm
Sau khi có kết quả số từ tích phân, ta nhập lần lượt các đáp án A, B, C, D (thường là các biểu thức chứa $pi$ hoặc $ln$) vào máy tính để xem đáp án nào cho ra kết quả số trùng khớp.
Cách để kiểm tra đáp án{alt=”Phương pháp kiểm tra đáp án tích phân trắc nghiệm bằng máy tính 580″ title=”Kiểm Tra Đáp Án cách bấm máy tính nguyên hàm 580″}
Ví Dụ Diện Tích Hình Phẳng
Công thức: Diện tích hình phẳng giới hạn bởi $y=f(x)$ và trục $Ox$ trong đoạn $[a, b]$ là $S = int_{a}^{b} |f(x)| dx$.
Ví dụ: Tính diện tích hình phẳng giới hạn bởi $y = x^2 – 4$ và trục $Ox$ từ $x=-1$ đến $x=1$.
- Nhập vào máy: $S = int_{-1}^{1} |X^2 – 4| dx$.
- Bấm =. Kết quả sẽ là một số thập phân (Ví dụ: $7.3333333$).
- Kiểm tra các đáp án trắc nghiệm (ví dụ: $frac{22}{3}$, $frac{10}{3}$,…). Đáp án $frac{22}{3}$ cho ra $7.3333333$.
Ví Dụ Thể Tích Khối Tròn Xoay
Công thức: Thể tích khối tròn xoay tạo thành khi quay hình phẳng giới hạn bởi $y=f(x)$, trục $Ox$ quanh trục $Ox$ từ $a$ đến $b$ là $V = pi int_{a}^{b} f^2(x) dx$.
Ví dụ: Tính thể tích khối tròn xoay khi quay hình phẳng giới hạn bởi $y = sqrt{x}$ và trục $Ox$ từ $x=1$ đến $x=4$.
- Nhập vào máy: $int_{1}^{4} (sqrt{X})^2 dx$ (Không nhập $pi$ vào tích phân).
- Bấm =. Kết quả: $7.5$.
- Kiểm tra đáp án: Nếu đáp án là $frac{15pi}{2}$. Ta nhập $frac{15}{2}$ vào máy tính, kết quả là $7.5$. Vậy đáp án đúng là $frac{15pi}{2}$.
Kỹ Thuật Tối Ưu Tốc Độ Khi Bấm Máy 580 Giải Nguyên Hàm
Sử dụng máy tính Casio 580 không chỉ là nhập đúng công thức. Việc tối ưu hóa tốc độ và hiểu rõ giới hạn của máy là chìa khóa để hoàn thành bài thi trắc nghiệm trong thời gian ngắn.
Lựa Chọn Điểm Thử A Tối Ưu
Trong phương pháp đạo hàm ngược (Dạng 1), việc chọn điểm thử $A$ rất quan trọng.
- Giá trị an toàn: Thường chọn $A=0.5$ hoặc $A=1.5$.
- Tránh điểm làm hàm số không xác định: Nếu hàm $f(x)$ hoặc $F(x)$ không xác định tại $x=0$, $x=1$, hoặc các điểm đặc biệt (ví dụ: $ln(x)$ tại $x le 0$), tuyệt đối không chọn các giá trị này.
- Tránh điểm làm đạo hàm bị triệt tiêu: Tránh các điểm đặc biệt như $x=0$ khi hàm có tính đối xứng chẵn/lẻ, vì kết quả có thể triệt tiêu sai lệch.
- Giá trị thập phân nhỏ: Gán $X$ bằng các giá trị như $0.1$ hoặc $0.01$ có thể tăng độ chính xác trong một số trường hợp, nhưng đôi khi lại làm tăng thời gian tính toán của máy.
Khắc Phục Lỗi Máy Tính Không Xử Lý Được
Máy Casio 580 sử dụng phương pháp xấp xỉ số học để tính đạo hàm và tích phân, điều này dẫn đến các hạn chế nhất định.
- Lỗi Domain Error (Lỗi Miền Giá Trị): Xảy ra khi gán $A$ nằm ngoài tập xác định (ví dụ: căn bậc chẵn của số âm, $ln(0)$). Cần kiểm tra kỹ tập xác định của $f(x)$ và $F_i(x)$.
- Lỗi Calculation Error (Lỗi Tính Toán): Thường do sử dụng hàm số quá phức tạp, hoặc chọn cận tích phân quá xa. Máy 580 xử lý tốt hơn các dòng cũ, nhưng đối với các hàm số đa thức bậc cao hoặc hàm lượng giác phức tạp, nên chọn cận tích phân gần nhau hơn (ví dụ: từ $0$ đến $1$).
Phân Tích Sai Số (Độ Chính Xác Của Máy Tính)
Khi thực hiện phép thử $f(A) – F'(A)$, kết quả đúng thường là $0$. Tuy nhiên, do tính toán xấp xỉ, máy tính thường trả về các giá trị cực kỳ nhỏ như $1.2 times 10^{-10}$ hoặc $-5 times 10^{-14}$.
- Nguyên tắc chọn: Bất kỳ giá trị nào trong khoảng $[-10^{-7}, 10^{-7}]$ đều được coi là bằng 0. Nếu kết quả là $10^{-5}$ trở lên, nên thử lại với một điểm $A$ khác. Nếu vẫn lớn, đáp án đó có khả năng sai.
Phân Tích Chuyên Sâu Các Dạng Bài Toán Nguyên Hàm Phức Tạp
Ngoài các dạng cơ bản, Casio 580 còn là công cụ mạnh mẽ để giải quyết các bài toán nguyên hàm đòi hỏi kỹ thuật cao hơn.
Nguyên Hàm Của Hàm Hợp (Đổi Biến Số)
Khi gặp hàm hợp, ví dụ $int frac{x}{x^2+1} dx$. Các đáp án thường liên quan đến $ln|x^2+1|$ hoặc các biểu thức phức tạp hơn.
Thực hành:
- Hàm $f(x) = frac{x}{x^2+1}$.
- Đáp án tiềm năng $F(x) = frac{1}{2}ln(x^2+1) + C$.
- Chọn $A=1$.
- Thực hiện phép thử đạo hàm ngược:
$$frac{X}{X^2+1} – left. frac{d}{dx} left( frac{1}{2}ln(X^2+1) right) right|_{x=X}$$ - Máy tính trả về 0, xác nhận tính chính xác. Phương pháp này loại bỏ việc phải thực hiện phép đặt $u = x^2+1$.
Nguyên Hàm Từng Phần (Integration by Parts)
Nguyên hàm từng phần, dạng $int u dv = uv – int v du$, thường gặp khi tính $int x cos x dx$ hoặc $int x e^x dx$.
Thực hành:
- Hàm $f(x) = x e^x$.
- Đáp án tiềm năng $F(x) = x e^x – e^x + C$.
- Chọn $A=2$.
- Thực hiện phép thử đạo hàm ngược:
$$X e^X – left. frac{d}{dx} (X e^X – e^X) right|_{x=X}$$ - Nhập biểu thức này vào Casio 580 và CALC $X=2$. Nếu kết quả bằng 0, đáp án $F(x)$ là chính xác. Việc này tiết kiệm đáng kể thời gian so với việc tính toán tay phức tạp.
Tổng Hợp Các Lưu Ý Quan Trọng Khi Bấm Máy Tính Nguyên Hàm
Để đảm bảo hiệu quả cao nhất khi áp dụng cách bấm máy tính nguyên hàm 580 vào giải toán, người dùng cần ghi nhớ các điểm sau.
Kiểm Tra Chế Độ Máy Tính
Luôn đảm bảo máy tính của bạn đang ở chế độ tính toán chính xác (MODE 1 – COMP). Khi làm việc với các hàm lượng giác, chế độ Góc (Degree – D) hay Radian (R) phải được đặt chính xác theo yêu cầu của đề bài. Trong tích phân, việc sử dụng Radian thường là mặc định và an toàn hơn.
Sự Khác Biệt Giữa Nguyên Hàm và Tích Phân
- Nguyên hàm vô định ($int f(x) dx$): Luôn sử dụng phương pháp Đạo hàm ngược. Kết quả là một hàm số $F(x) + C$.
- Tích phân xác định ($int_{a}^{b} f(x) dx$): Sử dụng chức năng tích phân trực tiếp. Kết quả là một giá trị số.
Lưu Ý Về Biến và Hằng Số
Trong phép thử đạo hàm ngược $f(X) – F'(X)$, hằng số $C$ của nguyên hàm sẽ tự động bị triệt tiêu khi đạo hàm (vì $C’ = 0$). Do đó, khi nhập các đáp án $F_i(x)$, người học có thể bỏ qua hằng số $C$.
Xử Lý Các Trường Hợp Có Logarit Tự Nhiên (ln)
Khi tính nguyên hàm cho các hàm phân thức, kết quả thường chứa $ln|u(x)|$. Trong máy tính 580, khi gán giá trị $X$ (điểm thử $A$), cần đảm bảo $u(A) > 0$ để tránh lỗi Domain Error do máy tính không xử lý logarit của số âm hoặc bằng 0. Nếu $u(x)$ có thể âm, hãy chọn $A$ sao cho $u(A)$ dương.
Thao Tác Bấm Nút Nhanh Gọn
Sử dụng thành thạo các phím chức năng của Casio 580 giúp tối ưu hóa thời gian:
- SHIFT + $int$ (Đạo hàm tại điểm): Dùng để nhập $F'(x)$ nhanh.
- CALC: Dùng để thay thế giá trị $X$ lặp đi lặp lại mà không cần nhập lại biểu thức.
- ALPHA + X: Dùng để nhập biến $X$ nhanh chóng.
Kiểm tra kỹ thuật tính toán giúp đảm bảo bạn đã áp dụng đúng quy tắc. Ví dụ, phân tích thành tổng hoặc sử dụng phép biến đổi để đơn giản hóa hàm số trước khi nhập vào máy tính nếu hàm quá phức tạp.
Phân Tích Ví Dụ Các Bài Giải Hệ Phương Trình Thường Gặp Bằng Máy 580
Việc hiểu cách máy tính xử lý các dạng bài cụ thể sẽ củng cố khả năng sử dụng phương pháp cách bấm máy tính nguyên hàm 580 trong thực tế.
Dạng Bài 1: Kiểm Tra Tính Đúng Đắn Của Nguyên Hàm
Câu hỏi: Nguyên hàm của $f(x) = e^{2x}$ là:
A. $e^{2x} + C$
B. $2e^{2x} + C$
C. $frac{1}{2}e^{2x} + C$
Phân tích và Giải bằng máy:
- Chọn $A = 0.5$.
- Kiểm tra đáp án A: $e^{2X} – left. frac{d}{dx} (e^{2X}) right|_{x=X}$.
CALC $X=0.5$ cho kết quả khác $0$. (Loại A) - Kiểm tra đáp án C: $e^{2X} – left. frac{d}{dx} (frac{1}{2}e^{2X}) right|_{x=X}$.
CALC $X=0.5$. Máy tính cho kết quả xấp xỉ $0$. (Chọn C)
Dạng Bài 2: Giải Bài Toán Điều Kiện Ban Đầu
Câu hỏi: Tìm nguyên hàm $F(x)$ của $f(x) = frac{1}{cos^2 x}$ biết $F(frac{pi}{4}) = 2$.
A. $F(x) = tan x + 1$
B. $F(x) = cot x + 1$
Phân tích và Giải bằng máy:
Ta có $x_0 = frac{pi}{4}$ và $M = 2$. Chuyển máy về chế độ Radian (R). Chọn $A = 1$ (Radian).
- Kiểm tra đáp án A: $F_A(x) = tan x + 1$.
- Nhập biểu thức kiểm tra:
$$int_{pi/4}^{X} left(frac{1}{cos^2 t}right) dt – (tan X + 1) + 2$$ - Biểu thức rút gọn:
$$int_{pi/4}^{X} left(frac{1}{cos^2 t}right) dt – tan X + 1$$ - CALC $X=1$. Máy tính cho kết quả xấp xỉ $0$. (Chọn A)
Dạng Bài 3: Kiểm Tra Tích Phân Liên Quan Đến Số Vô Tỷ
Khi kết quả tích phân là số vô tỷ, ví dụ $e$ hoặc $ln(k)$, việc kiểm tra đáp án cần sự cẩn thận.
Câu hỏi: $int_{0}^{1} x e^x dx$ bằng:
A. $e$
B. $1$
C. $e-1$
Phân tích và Giải bằng máy:
- Nhập tích phân trực tiếp: $int_{0}^{1} X e^X dx$.
- Bấm =. Máy tính trả về kết quả số thập phân: $1.0$.
- Kiểm tra các đáp án:
A. $e approx 2.718$ (Loại)
B. $1.0$ (Khả năng cao)
C. $e-1 approx 1.718$ (Loại) - Chọn B.
Việc sử dụng máy tính 580 không chỉ là giải quyết bài toán mà còn là kỹ năng đối phó với áp lực thời gian trong các kỳ thi trắc nghiệm. Nắm vững cú pháp và các kỹ thuật tối ưu sẽ biến máy tính thành trợ thủ đắc lực nhất.
Việc sử dụng máy tính Casio FX-580VN X để giải các bài toán nguyên hàm và tích phân đã trở thành một kỹ năng thiết yếu trong học tập hiện đại. Bằng cách áp dụng thành thạo cách bấm máy tính nguyên hàm 580, đặc biệt là phương pháp đạo hàm ngược và kỹ thuật kiểm tra tích phân, người học có thể tự tin vượt qua các câu hỏi trắc nghiệm một cách nhanh chóng và chính xác. Khả năng kiểm tra đáp án gần như tức thì giúp tăng cường độ tin cậy và hiệu suất làm bài.
Ngày Cập Nhật 29/11/2025 by Trong Hoang

Chào các bạn, mình là Trọng Hoàng, tác giả của blog maytinhvn.net. Mình là một full-stack developer kiêm writer, blogger, Youtuber và đủ thứ công nghệ khác nữa.




