Việc tìm nguyên hàm là một kỹ năng cơ bản nhưng thiết yếu trong chương trình Giải tích, thường xuất hiện dưới dạng bài toán trắc nghiệm. Đối mặt với áp lực thời gian trong các kỳ thi, việc nắm vững cách tính nguyên hàm bằng máy tính trở nên vô cùng quan trọng. Phương pháp sử dụng công cụ vi phân trên máy tính bỏ túi, đặc biệt là dòng Casio FX 580VN X, cho phép chúng ta nhanh chóng kiểm tra đáp án trắc nghiệm một cách chính xác. Bài viết này sẽ đi sâu vào kỹ thuật vi phân trên máy tính, giải thích cơ sở lý luận, và hướng dẫn chi tiết cách ứng dụng công cụ này để xác định nguyên hàm của một hàm số khả vi. Nắm bắt Định lý cơ bản của giải tích qua công cụ này giúp tối ưu hóa đáng kể quá trình học tập và làm bài thi.
Phân Tích Lý Thuyết Nền Tảng Của Nguyên Hàm
Để hiểu rõ tại sao máy tính có thể giúp ta tìm nguyên hàm, chúng ta cần củng cố lại định nghĩa toán học cơ bản. Nguyên hàm là phép toán ngược lại của phép toán đạo hàm (vi phân).
Định Nghĩa Và Vai Trò Của Nguyên Hàm
Một hàm số $F(x)$ được gọi là nguyên hàm của hàm số $f(x)$ trên khoảng $K$ nếu đạo hàm của $F(x)$ bằng $f(x)$ với mọi $x$ thuộc $K$. Công thức này được biểu diễn là $F'(x) = f(x)$.
Nguyên hàm không phải là duy nhất. Nếu $F(x)$ là một nguyên hàm của $f(x)$, thì $F(x) + C$ cũng là một nguyên hàm của $f(x)$, với $C$ là một hằng số tùy ý. Hằng số $C$ này được gọi là hằng số tích phân.
Sự tồn tại của $C$ là lý do giải thích tại sao máy tính không thể “tính” trực tiếp nguyên hàm như cách tính đạo hàm. Máy tính chỉ có thể kiểm tra xem đạo hàm của đáp án đã cho có bằng hàm gốc hay không.
Mối Liên Hệ Với Phép Tính Đạo Hàm Trên Máy Tính
Máy tính Casio FX 580VN X có chức năng tính đạo hàm tại một điểm (ký hiệu là $frac{d}{dx}$). Chức năng này dựa trên công thức xấp xỉ đạo hàm: $F'(x_0) approx frac{F(x_0 + Delta x) – F(x_0 – Delta x)}{2Delta x}$.
Khi chúng ta kiểm tra nguyên hàm, chúng ta đang sử dụng tính chất $F'(x) = f(x)$. Nếu một đáp án $F_i(x)$ là nguyên hàm của $f(x)$, thì đạo hàm của $F_i(x)$ tại một điểm bất kỳ $x=A$ phải bằng giá trị của $f(x)$ tại chính điểm đó.
Công Cụ Vi Phân Trên Máy Tính Casio FX 580VN X
Máy tính Casio FX 580VN X là công cụ học tập mạnh mẽ, hỗ trợ chức năng vi phân (đạo hàm) tại một điểm. Việc thành thạo chức năng này là chìa khóa để áp dụng kỹ thuật kiểm tra nguyên hàm.
Thiết Lập Cơ Bản Cho Máy Tính
Trước khi bắt đầu, người dùng nên thiết lập máy tính về chế độ tính toán cơ bản và chuẩn hóa kết quả.
Sử dụng phím SHIFT + MODE để truy cập các cài đặt hệ thống. Chuyển máy về chế độ tính toán thông thường (MODE 1: COMP).
Để kiểm soát độ chính xác của kết quả, hãy đưa máy tính về chế độ FIX 9. Thao tác này giúp máy tính hiển thị kết quả với 9 chữ số thập phân, dễ dàng nhận diện số 0 thực sự hoặc các giá trị rất nhỏ (ví dụ $10^{-10}$), điều thường gặp khi tính toán vi phân xấp xỉ.
Cú Pháp Kiểm Tra Nguyên Hàm Cốt Lõi
Phương pháp kiểm tra nguyên hàm dựa trên việc so sánh giá trị đạo hàm của đáp án với giá trị của hàm gốc.
Cú pháp chuẩn để kiểm tra một đáp án $F_i(x)$ có phải là nguyên hàm của $f(x)$ tại điểm $x=A$ là:
$$frac{d}{dx} [Fi(x)]|{x=A} – f(A) = 0$$
Nếu kết quả tính toán bằng 0 (hoặc rất gần 0, thể hiện sai số xấp xỉ của máy), đáp án $F_i(x)$ là chính xác.
Chúng ta sử dụng chức năng tính đạo hàm của máy tính, ký hiệu là $frac{d}{dx}$, được kích hoạt bằng cách bấm SHIFT và sau đó là phím ∫dx (tích phân xác định).
Quy Tắc Quan Trọng Về Giá Trị Kiểm Tra $A$
Việc lựa chọn giá trị $A$ (điểm kiểm tra) là bước then chốt quyết định độ tin cậy của phương pháp. $A$ phải là một giá trị thỏa mãn tập xác định của cả hàm $f(x)$ và các hàm đáp án $F_i(x)$.
Nên chọn giá trị $A$ nhỏ, đơn giản, và khác 0. Các giá trị thường dùng là $A=1$ hoặc $A=0.5$.
Tuyệt đối tránh chọn các giá trị $A$ là nghiệm của mẫu số hoặc các điểm không xác định khác của hàm số. Đối với hàm lượng giác, nếu chưa biết chính xác, nên chuyển máy về chế độ Radian (SHIFT + MODE + 4) và chọn $A$ là các số thực, không nên chọn $pi$ hoặc các bội của $pi$ nếu chúng là điểm đặc biệt.
Máy tính khoa học Casio FX-580VN X
Giá trị $A$ được nhập từ bàn phím để kiểm tra. $A$ là hằng số thỏa mãn tập xác định và nên có giá trị nhỏ. Người dùng có thể lưu giá trị $A$ vào một biến nhớ (ví dụ ALPHA A) để sử dụng lại nhiều lần trong quá trình kiểm tra.
Hướng Dẫn Kỹ Thuật Cách Tính Nguyên Hàm Bằng Máy Tính Chi Tiết
Quy trình sử dụng Casio FX 580VN X để tìm nguyên hàm cần được thực hiện một cách có hệ thống để tránh sai sót. Đây là các bước cụ thể áp dụng kỹ thuật kiểm tra bằng đạo hàm.
Bước 1: Chuẩn Bị Và Thiết Lập Hàm Số
Xác định hàm số gốc $f(x)$ và các phương án đáp án $F_i(x)$ (thường là A, B, C, D). Thiết lập máy tính ở chế độ COMP và FIX 9 như đã hướng dẫn.
Nếu bài toán chứa hàm lượng giác, chuyển máy sang chế độ Radian (R). Nếu bài toán chứa logarit tự nhiên (ln) hoặc hàm mũ $e$, không cần thay đổi chế độ.
Bước 2: Chọn Và Lưu Giá Trị Kiểm Tra A
Chọn một giá trị $A$ hợp lý. Ví dụ, chọn $A=1$. Nhập 1 rồi bấm STO và chọn biến nhớ A (hoặc biến khác).
Giá trị $A$ này sẽ được sử dụng để tính $f(A)$ và đạo hàm của $F_i(x)$ tại $x=A$. Việc lưu biến A giúp tăng tốc độ kiểm tra các đáp án.
Bước 3: Thiết Lập Biểu Thức Kiểm Tra
Nhập biểu thức kiểm tra vào máy tính. Chúng ta cần tính $frac{d}{dx} [Fi(x)]|{x=A} – f(A)$.
Nhập $frac{d}{dx}(text{Biểu Thức Đáp Án } F_i(x))$
Sử dụng phím SHIFT + ∫dx để mở chức năng đạo hàm. Nhập $F_i(x)$ vào bên trong ngoặc. Nhập giá trị kiểm tra $x=A$ (hoặc biến nhớ $A$ đã lưu).
Sau đó, trừ đi hàm gốc $f(x)$ tại điểm $A$.
Bước 4: Thực Hiện Tính Toán Và Phân Tích Kết Quả
Bấm =. Nếu kết quả là 0 hoặc một giá trị xấp xỉ 0 (ví dụ $4.5 times 10^{-10}$), đáp án $F_i(x)$ đó là nguyên hàm chính xác.
Nếu kết quả khác 0 đáng kể, ví dụ $0.3$ hoặc $1.2 times 10^{-2}$, thì đáp án đó không phải là nguyên hàm.
Lặp lại quy trình kiểm tra này cho các đáp án $F_{i+1}(x)$ cho đến khi tìm được đáp án thỏa mãn điều kiện bằng 0.
Ví Dụ Chuyên Sâu Về Ứng Dụng Kỹ Thuật
Việc áp dụng phương pháp này đòi hỏi sự luyện tập. Dưới đây là các ví dụ minh họa chi tiết, bao gồm cả các hàm số phức tạp.
Ví Dụ 1: Nguyên Hàm Của Hàm Phân Thức
Tìm nguyên hàm của hàm số $f(x) = frac{x^2}{x^3 + 1}$.
Các phương án đáp án (giả định):
A. $F_1(x) = frac{1}{3} ln|x^3 + 1| + C$
B. $F_2(x) = ln|x^3 + 1| + C$
C. $F_3(x) = frac{1}{3} ln(x^3 + 1) + C$
D. $F_4(x) = x^3 ln|x^3 + 1| + C$
Phân tích: Hàm số gốc $f(x)$ có tập xác định là $x neq -1$. Ta chọn $A=2$ để kiểm tra.
Thực hiện kiểm tra với Đáp án A:
- Tính giá trị hàm gốc tại $A=2$: $f(2) = frac{2^2}{2^3 + 1} = frac{4}{9} approx 0.444444444$.
- Nhập biểu thức kiểm tra cho $F1(x)$: $frac{d}{dx} (frac{1}{3} ln|x^3 + 1|)|{x=2} – frac{x^2}{x^3 + 1}|_{x=2}$.
- Nhập vào máy: $SHIFT + int dx$ (gõ $frac{1}{3} ln(X^3 + 1)$, tại $X=2$) $- (frac{X^2}{X^3 + 1})|_{X=2}$.
- Nếu kết quả là 0, Đáp án A là chính xác.
Lưu ý: Trong biểu thức $F_i(x)$, hằng số $C$ không cần nhập vào máy tính vì đạo hàm của $C$ luôn bằng 0.
Ví Dụ 2: Nguyên Hàm Của Hàm Lượng Giác Phức Tạp
Tìm nguyên hàm của hàm số $f(x) = 8 sin(3x) cos(2x) sin(6x)$.
Đáp án để chọn gồm (giả định):
A. $F_1(x) = frac{1}{5} cos(5x) + frac{1}{7} cos(7x) + C$
B. $F_2(x) = frac{1}{5} cos(5x) – frac{1}{7} cos(7x) + C$
C. $F_3(x) = sin(5x) cos(7x) + C$
D. $F_4(x) = frac{1}{5} sin(5x) + frac{1}{7} cos(7x) + C$
Phân tích: Đây là hàm lượng giác, cần chuyển máy tính sang chế độ Radian (R). Chọn giá trị kiểm tra $A=0.1$ (một giá trị khác 0, không đặc biệt).
Thực hiện kiểm tra với Đáp án B:
- Thiết lập biểu thức kiểm tra: $frac{d}{dx} [F2(x)]|{x=0.1} – f(0.1)$.
- Nhập $F_2(x) = frac{1}{5} cos(5x) – frac{1}{7} cos(7x)$.
- Tính toán: $SHIFT + int dx$ (gõ $F_2(X)$, tại $X=0.1$) $- 8 sin(3 times 0.1) cos(2 times 0.1) sin(6 times 0.1)$.
Nếu kết quả bằng 0, Đáp án B chính xác. Cần đảm bảo rằng mọi phép tính lượng giác đều được thực hiện ở chế độ Radian để tránh sai lệch.
Giải bài toán tính nguyên hàm bằng máy tính Casio FX 580VN X
Hình ảnh minh họa cho thấy cách nhập một hàm số và tính toán đạo hàm tại một điểm xác định, đây là bước quan trọng trong quá trình kiểm tra nguyên hàm.
Ví Dụ 3: Nguyên Hàm Của Hàm Số Mũ Và Logarit
Tìm nguyên hàm của $f(x) = x e^{x^2}$.
Phương án (giả định):
A. $F_1(x) = 2e^{x^2} + C$
B. $F_2(x) = frac{1}{2} e^{x^2} + C$
C. $F_3(x) = x^2 e^{x^2} + C$
D. $F_4(x) = e^{x^2} + C$
Phân tích: Hàm số xác định với mọi $x in mathbb{R}$. Chọn $A=1$.
Thực hiện kiểm tra với Đáp án B:
- Tính $f(1) = 1 cdot e^{1^2} = e approx 2.71828$.
- Nhập biểu thức kiểm tra: $frac{d}{dx} (frac{1}{2} e^{x^2})|{x=1} – x e^{x^2}|{x=1}$.
- Nhấn
=. Nếu kết quả là 0, Đáp án B chính xác.
Việc sử dụng hằng số $e$ (SHIFT + $ln$) và biến $X$ (ALPHA + `) trên máy tính cần chính xác tuyệt đối.
Tối Ưu Hóa Kỹ Thuật Kiểm Tra Với Các Loại Hàm Số Khác
Dù phương pháp $frac{d}{dx} [F_i(x)] – f(x)$ là hiệu quả nhất, cần có sự điều chỉnh nhỏ tùy thuộc vào loại hàm số.
Xử Lý Nguyên Hàm Dạng Căn Thức
Khi hàm số $f(x)$ chứa căn bậc hai hoặc căn bậc ba, tập xác định cần được kiểm tra cẩn thận.
Ví dụ: Tìm nguyên hàm của $f(x) = frac{x}{sqrt{x^2 + 1}}$. Tập xác định là $x in mathbb{R}$.
Chọn $A=3$.
Nếu đáp án là $F(x) = sqrt{x^2 + 1} + C$.
Kiểm tra: $frac{d}{dx} (sqrt{x^2 + 1})|_{x=3} – frac{3}{sqrt{3^2 + 1}}$. Kết quả phải bằng 0.
Lưu ý: Khi nhập biểu thức $F_i(x)$, nếu có các hàm lượng giác nghịch đảo (arcsin, arccos), cần đảm bảo máy tính đã được chuyển về chế độ Radian.
Vấn Đề Hằng Số Tích Phân C
Như đã đề cập, chức năng $frac{d}{dx}$ loại bỏ hằng số $C$. Tuy nhiên, trong các bài toán trắc nghiệm, các đáp án thường khác nhau ở hàm số chính, không chỉ ở $C$.
Nếu hai đáp án $F_a(x)$ và $F_b(x)$ đều cho kết quả kiểm tra bằng 0, điều đó có nghĩa là $F_a(x) – F_b(x) = C$ (một hằng số). Trong trường hợp này, cả hai đều là nguyên hàm đúng.
Nếu bài toán có điều kiện ban đầu (ví dụ $F(0) = 5$), ta cần thay $x=0$ vào $F_i(x)$ để tìm $C$. Tuy nhiên, phương pháp máy tính chỉ giúp xác định phần hàm số $F(x)$, không phải $C$.
Chú Ý Về Sai Số Xấp Xỉ (Tolerance)
Máy tính Casio FX 580VN X sử dụng phương pháp xấp xỉ để tính đạo hàm. Do đó, kết quả bằng 0 thường được hiển thị dưới dạng $k times 10^{-m}$, với $m$ là một số lớn (ví dụ $m geq 8$).
Nếu kết quả là $2.4 times 10^{-9}$, ta chấp nhận nó là 0.
Nếu kết quả là $1.5 times 10^{-3}$, đây là một sai số lớn và đáp án bị loại. Chế độ FIX 9 giúp nhận biết rõ ràng các sai số này.
Quy trình kiểm tra đạo hàm tại điểm $A=0$ cho hàm số phân thức.
So Sánh Các Kỹ Thuật Và Hạn Chế Của Máy Tính
Mặc dù máy tính là công cụ mạnh mẽ, việc lạm dụng hoặc hiểu sai bản chất của nó có thể dẫn đến kết quả không mong muốn.
Kỹ Thuật Vi Phân (Sử Dụng $frac{d}{dx}$)
Ưu điểm:
- Phổ biến, nhanh chóng và chính xác đối với hầu hết các dạng hàm số.
- Dễ dàng thiết lập cú pháp kiểm tra.
Nhược điểm:
- Dễ bị sai số xấp xỉ đối với các hàm có biến đổi phức tạp.
- Cần chọn giá trị $A$ hợp lý.
Kỹ Thuật Tích Phân Xác Định (Sử Dụng $int_{a}^{b} f(x) dx$)
Đây là một phương pháp thay thế, ít được sử dụng hơn trong việc tìm nguyên hàm trắc nghiệm, nhưng lại rất hiệu quả để kiểm tra sự khác biệt giữa hai nguyên hàm.
Nguyên lý: Nếu $F_1(x)$ và $F2(x)$ là hai nguyên hàm của $f(x)$, thì $int{a}^{b} f(x) dx = F_1(b) – F_1(a) = F_2(b) – F_2(a)$.
Cách kiểm tra:
- Chọn hai giá trị $a$ và $b$ bất kỳ (trong tập xác định).
- Tính $I = int_{a}^{b} f(x) dx$ bằng máy tính.
- Thay $a, b$ vào đáp án $F_i(x)$: Tính $D_i = F_i(b) – F_i(a)$.
- Nếu $I = D_i$, đáp án $F_i(x)$ là chính xác.
Phương pháp này phức tạp hơn vì yêu cầu chọn hai điểm và tính hai giá trị, nhưng lại rất hữu ích khi hàm số gốc $f(x)$ quá phức tạp để tính đạo hàm (máy tính có thể tính tích phân xác định nhanh hơn đạo hàm trong một số trường hợp).
Hạn Chế Cần Ghi Nhớ
Không có phương pháp máy tính nào có thể thay thế hoàn toàn kỹ năng tự luận. Máy tính chỉ nên được xem là công cụ để kiểm tra nhanh chóng hoặc giải quyết các bài toán trắc nghiệm.
Người học cần phải có kiến thức về tập xác định để chọn $A$ hợp lý. Chọn $A$ tại các điểm kỳ dị sẽ luôn dẫn đến lỗi (Math Error).
Phương pháp này không hoạt động đối với các hàm số không liên tục hoặc không khả vi trên khoảng kiểm tra.
Phân Tích Các Trường Hợp Lựa Chọn Giá Trị A
Việc lựa chọn điểm kiểm tra $A$ ảnh hưởng trực tiếp đến kết quả và thời gian giải quyết bài toán. Cần tuân thủ nguyên tắc chọn $A$ đơn giản và thuộc miền xác định.
Trường Hợp 1: Hàm Đa Thức và Phân Thức
Đối với các hàm đa thức và phân thức đơn giản (không có căn hoặc logarit), $A=1$ hoặc $A=2$ là lựa chọn an toàn.
Tránh chọn $A$ là nghiệm của mẫu số hoặc các điểm làm cho hàm số gốc $f(x)$ không xác định.
Trường Hợp 2: Hàm Lượng Giác
Luôn sử dụng chế độ Radian (R).
Tránh chọn $A=0$ nếu hàm số có dạng $cot(x), frac{1}{sin(x)}$ hoặc $frac{1}{cos(x)}$, vì $A=0$ thường là điểm đặc biệt.
Các giá trị an toàn là $A=0.1$ hoặc $A=0.5$.
Trường Hợp 3: Hàm Logarit
Hàm logarit (ln, $log_a$) chỉ xác định khi đối số dương. Cần đảm bảo rằng $A$ làm cho đối số của logarit trong $f(x)$ và $F_i(x)$ lớn hơn 0.
Ví dụ: $f(x) = frac{1}{x-2}$. Ta phải chọn $A > 2$ hoặc $A < 2$. Nếu chọn $A=3$, mọi thứ đều an toàn.
Tăng Cường Độ Tin Cậy Bằng Cách Kiểm Tra Đa Điểm
Mặc dù việc một đáp án sai cho ra kết quả bằng 0 tại một điểm ngẫu nhiên $A$ là hiếm, nhưng để tăng độ tin cậy tuyệt đối, người dùng nên kiểm tra với hai giá trị $A_1$ và $A_2$ khác nhau.
Nếu $frac{d}{dx} [Fi(x)]|{x=A_1} – f(A_1) = 0$
VÀ $frac{d}{dx} [Fi(x)]|{x=A_2} – f(A_2) = 0$
Thì khả năng $F_i(x)$ là nguyên hàm đúng gần như tuyệt đối. Điều này đặc biệt quan trọng khi làm việc với các hàm lượng giác phức tạp.
Ví dụ kiểm tra kép:
- Lần 1: Chọn $A_1=0.5$.
- Lần 2: Chọn $A_2=1.5$.
Nếu cả hai lần đều cho kết quả 0, ta kết luận đáp án là chính xác.
Cách bấm nguyên hàm bằng máy tính Casio FX 580VN X
Hình ảnh cho thấy cách nhập biểu thức kiểm tra chi tiết, bao gồm cả hàm gốc $f(x)$ và đáp án $F_i(x)$ vào máy tính Casio, minh họa cho việc so sánh giá trị.
Quản Lý Cấu Trúc Bộ Nhớ Trong Quá Trình Tính Toán
Sử dụng bộ nhớ (biến A, B, C, D, X, Y, M) trên Casio FX 580VN X giúp tăng tốc độ đáng kể trong quá trình kiểm tra.
Lưu Trữ Hàm Gốc $f(x)$
Đối với hàm $f(x)$ phức tạp, thay vì gõ lại $f(A)$ trong biểu thức kiểm tra, ta có thể tính giá trị $f(A)$ trước và lưu nó vào một biến nhớ.
Ví dụ: Tính $f(A)$ và lưu vào biến $M$.
- Nhập $f(A)$.
- Bấm
STO M. - Biểu thức kiểm tra trở thành: $frac{d}{dx} [Fi(x)]|{x=A} – M$.
Thao tác này giúp giảm số lượng ký tự phải nhập vào máy trong biểu thức đạo hàm, giảm thiểu lỗi cú pháp.
Đảm Bảo Tính Chính Xác Của Biến Nhớ
Luôn kiểm tra lại giá trị đã lưu trong biến nhớ trước khi sử dụng. Chức năng RCL (Recall) giúp hiển thị lại giá trị của biến nhớ.
Nếu cần thay đổi giá trị kiểm tra $A$ (ví dụ từ $A=1$ sang $A=2$), ta cần ghi đè giá trị mới lên biến nhớ $A$ đã lưu.
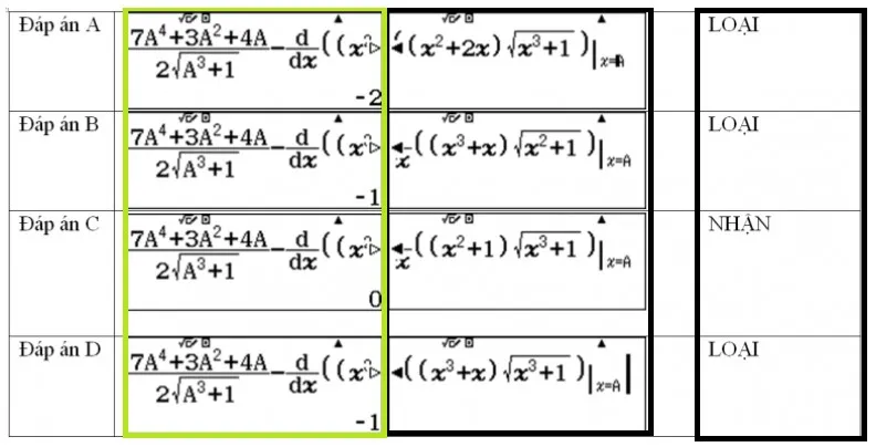
Cách bấm nguyên hàm bằng máy tính Casio 580
Minh họa kết quả tính toán trên máy tính. Kết quả bằng $0$ xác nhận đáp án $C$ là chính xác.
Kỹ thuật vi phân trên máy tính là phương pháp không thể thiếu đối với học sinh và sinh viên. Nắm vững cách tính nguyên hàm bằng máy tính cho phép người dùng vượt qua rào cản tính toán thủ công phức tạp và tập trung vào bản chất của bài toán. Việc sử dụng chức năng $frac{d}{dx}$ để kiểm tra đạo hàm của đáp án với hàm gốc là cách tối ưu hóa quá trình giải trắc nghiệm. Bằng cách áp dụng kỹ thuật vi phân trên Casio một cách có hệ thống, đồng thời chú ý đến việc lựa chọn giá trị kiểm tra $A$ và quản lý sai số, ta có thể đạt được kết quả chính xác và nâng cao tốc độ giải toán trong môi trường học tập và thi cử.
Ngày Cập Nhật 04/12/2025 by Trong Hoang

Chào các bạn, mình là Trọng Hoàng, tác giả của blog maytinhvn.net. Mình là một full-stack developer kiêm writer, blogger, Youtuber và đủ thứ công nghệ khác nữa.




